Казахстанський математик вирішив одну з задач тисячоліття

Тепер вченим зі всього світу доведеться все перевірити, щоб підтвердити факт вирішення задачі.

Мухтарбай Отелбаєв

Мухтарбай Отелбаєв

Казахстанський математик знайшов часткове вирішення однієї з так званих задач тисячоліття, що пов'язана з рівняннями Нав'є-Стокса. Стаття вченого з'явилася в казахському "Математичному журналі".

Однак, за словами головного наукового співробітника Інституту математики Бакитбека Кошанова, рішення задачі, зроблене Мухтарбаєм Отелбаєвим ще "має отримати світове визнання".

"Усе займе приблизно півроку або рік. Вчені будуть дивитися, перевіряти, обговорювати це рішення і лише потім уже визнають", - пояснив Кошанов.

Згідно з інформацією у Вікіпедії, існування і гладкість рішень рівнянь Нав'є-Стокса - одна із семи математичних задач тисячоліття, сформульованих у 2000 році Математичним інститутом Клея.

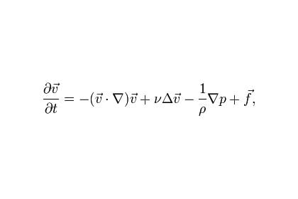
Рівняння Нав'є-Стокса для нестисливої рідини

Рівняння Нав'є-Стокса описують рух в'язкої ньютонівської рідини і є основою гідродинаміки. Чисельні рішення рівнянь Нав'є-Стокса використовуються у багатьох практичних додатках і наукових працях.

Однак в аналітичному вигляді рішення цих рівнянь знайдені лише у деяких окремих випадках, тому немає повного розуміння властивостей рівнянь Нав'є-Стокса.

Зокрема, рішення рівнянь Нав'є-Стокса часто включають у себе турбулентність, яка залишається однією з найважливіших невирішених проблем у фізиці, незважаючи на її величезну важливість для науки і техніки.

Як повідомлялось раніше, фізики після нових досліджень вирішили, що Всесвіт є голограмою. Нові дослідження змусили вчених по-новому поглянути на теорію про те, що тривимірний простір - це ілюзія.


Наступна публікація

Я дозволяю TSN.UA використовувати файли cookie